“Research has shown that women who are associated with alcohol are dehumanized and objectified more than men in the same conditions.

Our study investigated the dehumanization, sexual availability and professionality of women with and without alcohol who are being hired for either a male dominated position (engineering) or a female dominated position (public relations).

Our results show that regardless of job type, women are more likely to be dehumanized, viewed as more sexually available and less professional when associated with alcohol.

The Effect of Alcohol and Job Type on Women in the Workplace

70% of employers look at social media before making hiring decisions.

Salm, L. (2017). 70% of employers are snooping candidates’ social media profiles. Career Builder. Retrieved from https://www.careerbuilder.com/advice/social-media-survey-2017

38% of managers say that alcohol and drugs on social media profiles steer them away from hiring a candidate.

Salm, L. (2017). 70% of employers are snooping candidates’ social media profiles. Career Builder. Retrieved from https://www.careerbuilder.com/advice/social-media-survey-2017

  • Women associated with alcohol are dehumanized more than men associated with alcohol.

    Riemer, A. R., Gervais, S. J., Skorinko, J. L. M., Douglas, S. M., Spencer, H., Nugai, K., … Miles-Novelo, A. (2018). She Looks like She’d Be an Animal in Bed: Dehumanization of Drinking Woman in Social Contexts. Sex Roles. Advanced Online Publication. https://doi.org/10.1007/s11199-019-01052-w

  • Women associated with alcohol are less likely to be hired than men associated with alcohol.

    DiMaria & Mendoza (2018) #Insta-Rejection: Gender Bias in Perceptions of Social Media Activity among Non-Millennials

  • Women working in male dominated fields are more likely to face gender discrimination.

    Parker, K. (2018). Women in majority-male workplaces report higher rates of gender discrimination. Pew Research Center. Retrieved from https://www.pewresearch.org/fact-tank/2018/03/07/women-in-majority-male-workplaces-report-higher-rates-of-gender-discrimination/.

  • Women in male dominated jobs are perceived more negatively than women in female dominated jobs.

    Heilman, M. E., Wallen, A. S., Fuchs, D., & Tamkins, M. M. (2004). Penalties for success: reactions to women who succeed at male gender-typed tasks. Journal of applied psychology, 89(3), 416.

Research Question:

Will the presence of alcohol and the type of job (male or female dominated) influence workplace perceptions (e.g., hiring), and interpersonal perceptions (dehumanization, sexual availability, and professionalism) of women?

Hypothesis:

We predicted that female candidates that apply to a job in a male-dominated field that are associated with alcohol will be dehumanized, viewed as less professional and more sexually available than the same woman who is not associated with alcohol.

Methods

  • A total of 168 participants were recruited to participate in this study (98 males, 67 females, 1 other). We removed 36 participants from our data because they failed to meet various manipulation checks, leaving 132 (71 males, 60 females, 1 other) participants remaining. The majority of participants (161) were recruited via Amazon Mechanical Turk (Mturk) and the other participants (7) were recruited from psychology classes at a university in the Northeast United States. The participants from Mturk were paid $2.50 for their time. The participants from psychology classes received course credit.  All participants gave informed consent. 

  • The study was designed as a 2x2, meaning there were two independent variables (IVs) with two levels under each independent variable. The first IV was whether there was alcohol present in a social media profile or not. A female in a Facebook profile was either holding a water bottle or a beer bottle. The second IV was the type of job that the female was applying to. The two jobs that were given were a job in public relations (female-dominated job) or a job as an engineer (male-dominated job). The dependent variables (DVs) of the study were hiring perceptions, dehumanization, objectification, professionality, and sexual availability of the candidate.

  • All participants viewed the expectations for the job, a candidate’s resume, and a fictitious Facebook profile of “Sam Duncan”, a medium-height, medium-build, blonde, Caucasian woman. The whole Facebook “page” was cropped just below the bottom of the cover photo, including enough elements to cue people into it being a Facebook social media profile, but not displaying any “about” information or posts.  The cover photo of the page contained one of our manipulations; everything else remained the same between studies.

  • To propose the presence of alcohol, we showed participants a fictitious Facebook profile where the cover photograph depicted Sam Duncan at a bar, leaning on a table and smiling, holding a beverage. Half of the participants saw Sam holding a beer bottle (Alcohol Condition) and half saw Sam holding a water bottle (No Alcohol Condition).

  • To enforce a difference in the type of job the person was applying to, all participants viewed a resume of the job candidate.  Half the participants believed Sam Duncan was a Communications Major applying for a Public Relations Manager position (Female-Dominated Job Condition), and half the participants believed Sam was an Engineering Major applying for an Engineering Manager position (Male-Dominated Job Condition).  The resumes were identical except for the job the candidate was seeking (Public Relations Manager or Engineering Manager), and the Major Area of Study (Communication or Engineering).  All actual qualifications were neutrally framed skills and activities, such as experience with Microsoft Office, proficiency in data analysis, and a leadership award.

  • Past research has found that women holding an alcoholic beverage are more likely to be viewed as less human than women holding a non-alcoholic beverage (Riemer, et al., 2019).  We wanted to see if our study replicated this effect.  To do this, we used the same dehumanization measure used in Riemer and colleagues (2019).  In this measure, participants answered 8 items that related to their impressions of Sam in terms of materialistic and animalistic attributes on a 7-point Likert-Type Scale (1 = Not At All; 7 = Very Much).  More specifically, participants indicated if Sam appeared: 1) superficial, like they no depth, 2) mechanical and cold, like a robot, 3) open-minded, like they could think clearly about things, 4) emotional, like they were responsive and warm, 5) refined and cultured, 6) rational and logical, like they were intelligent, 7) lack self-restraint, like an animal, 8) unsophisticated.  

  • Similarly with dehumanization, women associated with alcoholic beverages have been found to be objectified more than when holding a non-alcoholic beverage (Riemer, et al., 2019). We used a matrix looking at sexual objectification from a previous study done by Riemer and colleagues (2019). In this matrix, participants were asked to rate their sexual impressions of Sam on a 7-point Likert-Type Scale (1=Not At All; 7=Very Likely) of four questions relating to objectification. More specifically, participants indicated if Sam appeared: 1) Sam is single, 2) Sam would engage in casual sex, 3) Sam engages in risky sexual behavior, 4) Sam would have a one night stand.

  • We asked participants to measure various workplace factors of the confederate Sam Duncan. We presented this to the participants through two separate sections of the survey they were taking. We showed a matrix asking them to rate various personality traits of the confederate relating to the workplace, such as responsibility, motivation and dependability. The participants used a scale from 1 to 6 to rate the confederate on each adjective. The lower the score, the less they found that adjective matched the way they viewed the confederate. The second section used to calculate the professionality was a sectioned scale response asking about professional qualifications, potential salary, and likelihood to recommend the confederate to the job they were applying for. To measure qualifications, we asked 3 questions surrounding if they believed the confederate was qualified for the applied for position, if they would succeed in the position, and if they would be likely to earn a promotion in the position. Participants used a scale from 1 to 6, where 1 represented strongly disagreeing and 6 represented strongly agreeing. The participants then used a scale from 1 to 6 to rate how likely they were to recommend the candidate for the applied position, with 1 representing very unlikely and 6 representing very likely. Finally, the participants used a slider representing annual salary in thousands and placed the slider on the number they would recommend offering the confederate if they were hired, with the average salary range bein $50,000 to $70,000. The scale ranged from 0 to 100,000, allowing the participant to choose outside or within the average salary for the position.

  • To ensure participants were fully participating in the study, we placed a manipulation check section within the survey. This section had 5 questions to see how focused the participants were on the study. These questions included the gender of the confederate (there was only one confederate and they were a female), what the confederate was consuming, how sober the confederate seemed, what type of social media was shown, and if the participant had ever seen the confederate before. Based off of the participants responses, we could determine if they had been paying full attention to the survey or not. Along with the manipulation check, we asked for demographics at the end of the study. To consider a possible correlation between a participant’s demographic background and their calculated levels of sexualization and objectification of the confederate, we asked 14 demographic questions. These questions ranged from gender identity, ethnicity, age, political ideology, and years of previous hiring experience.

  • Prior to participating, all participants of this study reviewed an informed consent agreement on the computer screen, and indicated their agreement by selecting either “I Agree” or “I Disagree”. Participants then imagined that they are an employer looking to hire someone for an entry-level position. They then reviewed a job description that described the position and qualifications needed, a resume of the job candidate, and a social media account that was ostensibly found during an internet search on the candidate. 

    To investigate the effects that the type of job might have on perceptions, half of the participants learned that they were hiring a public relations manager (female-dominated job) and half learned they were hiring an engineering manager (male-dominated job). The resumes that participants viewed corresponded with the type of position (public relations or engineering). In addition, the social media account was always a Facebook profile. However, half the participants saw the candidate holding a water bottle (no alcohol condition) and half the participants saw the candidate holding a beer bottle (alcohol condition).  

    After reviewing the candidate’s materials, participants completed questions about their first impressions of the candidate and were specifically asked if different attributes “matched” or “did not match” the candidate. Some of the traits were related to objectification and some were related to dehumanization. In addition, participants evaluated the candidate on different job-related attributes (i.e., reliable, hardworking, productive, dependable, etc.), and indicated if they recommended the candidate for the position and what salary they would expect that they earn.  We also measured participant’s perceptions of the candidate in relation to dehumanization (Riemer, et al., 2019), sexual availability (Riemer, et al., 2019), and professionalism (DiMaria & Mendoza, 2018). 

    Finally, participants completed information about their own social media usage and alcohol consumption.  We also included some manipulation check items (e.g. Was the person in the picture was male or female? and What was the person in the picture consuming?) and demographic information, such as gender identity, sexual orientation, age, etc.  After completing the study, all participants were debriefed and thanked for their participation. 

Results



Overall, the results of our study displayed that when examining dehumanization, sexual availability, and professionality, the only significant factor towards participant assessments was whether the candidate was holding a beer or water. While the candidate was shown holding a beer, she was dehumanized more and shown as more sexually available along with less professional then when the candidate was shown holding water. The type of job being applied for did not have any significant impact upon the participants’ assessments of the candidate. There was also not a significant interaction between the type of beverage and job the female candidate was assigned. 

Details are shown below

Professionality

There was a main effect for alcohol on Professionality, F(1,128) = 6.02, p =.016, η2p = .045, two-tailed test.

No main effect for Job Type, and no interaction, p’s > .15

Dehumanization

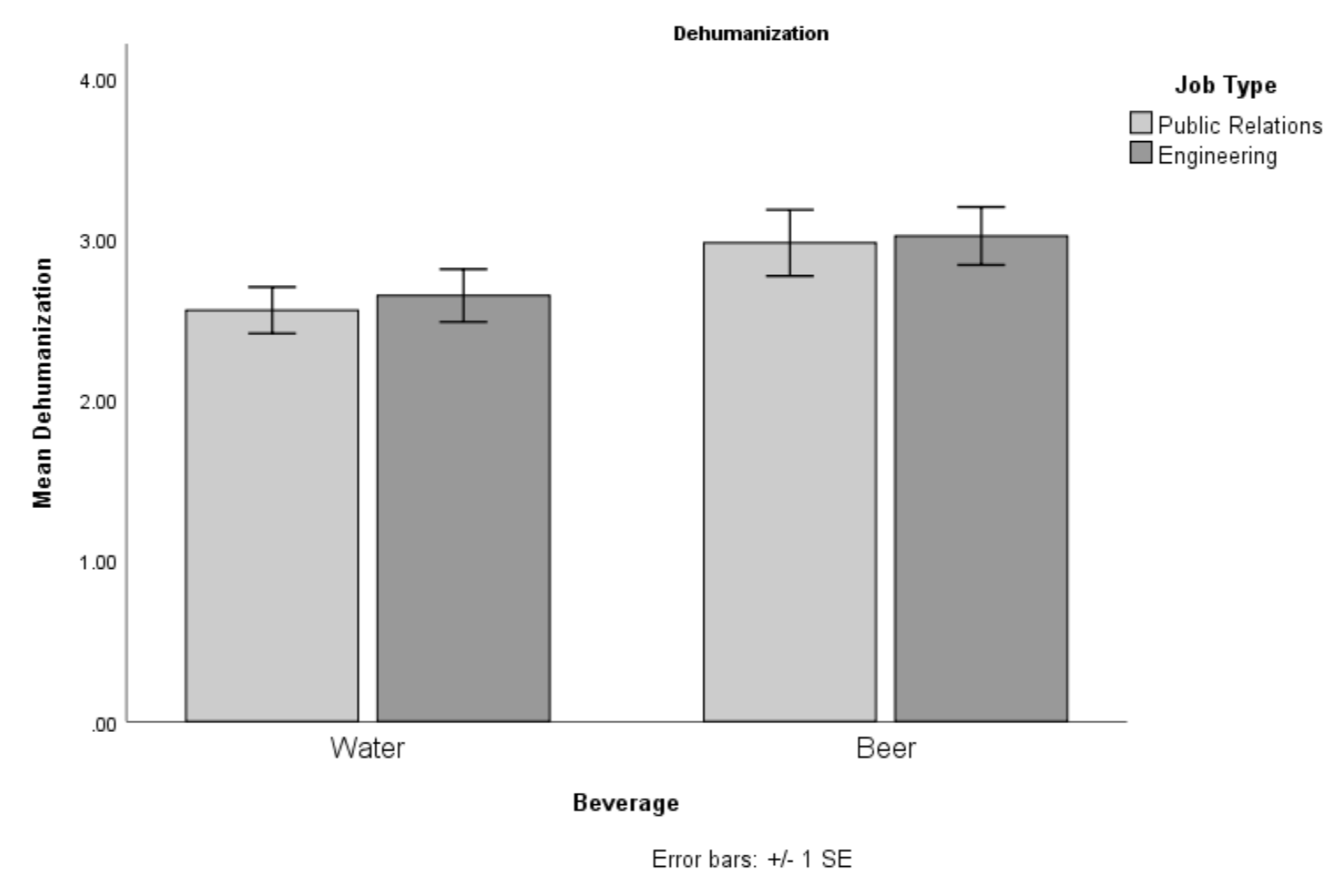
There was a main effect for alcohol on dehumanization, F(1,128) = 5.11, p =.025, η2p = .038, two-tailed test.

No main effect for Job Type, and no Interaction, p’s > .70

Association with alcohol had a marginally significant effect on perceptions of sexual availability, F(1,128) = 3.21, p =.076, η2p = .024, two-tailed test.

No main effect for Job Type, and no interaction, p’s > .76

Sexual Availability

Beverage Type

We found that the main effect of the beverage type was significant in both the dehumanization and professionality measurements, as seen in Professionality and Dehumanization charts. The female candidate holding beer (M = 2.99 , SD = 1.09) was dehumanized more than the female candidate holding water (M = 2.60 , SD = .89), F(1, 128) = 5.11, p =.03, η2p = .04, two-tailed test. She was also viewed as being less professional when holding beer (M =  4.54, SD = 1.05) instead of water (M = 4.90, SD = .64), F(1, 128) = 6.02 , p =.02, η2p = .05, two-tailed test.  The beverage type was only marginally significant when sexual availability was measured. As seen in Sexual Availability chart, the female holding beer (M = 3.74 , SD = 1.23) was only viewed as being slightly more sexually available than the female holding water (M = 3.38, SD = 1.11), F(1, 128) = 3.21, p =.08, η2p = .02, two-tailed test.

Job Type

We also found that the job type the female candidate was applying for did not have a statistically significant effect on the dehumanization (Dehumanization Chart), the impression of being sexually available (Sexual Availability Chart), or the professionalism of the female candidate (Professionalism Chart). There was no statistically significant difference on the perception of dehumanization of the female candidate when she was applying for a public relations position (M = 2.75 , SD = 1.05) or an engineering position (M = 2.83, SD = .96), F(1, 128) = .15, p =.70, η2p = .00, two-tailed test. There was also not a significant difference between the perceived the professionality of the female candidate when applying to a public relations position (M = 4.63, SD = .90) or an engineering position (M = 4.84, SD = .86), F(1, 128) = 2.06, p =.15, η2p = .02, two-tailed test. Finally, there was no significant difference in the perceptions of how sexually available the female candidate seemed when she was applying for a public relations position (M = 3.54, SD = 1.10) or an engineering position (M = 3.57, SD = 1.27), F(1, 128) = .01, p =.95, η2p = .00, two-tailed test.

Beverage & Job Type

There was not a significant interaction between beverage and job type in regards to dehumanization, F(1, 128) = .02, p =.89, η2p = .00, two-tailed test; professionality, F(1, 128) = .01, p =.93, η2p = .00, two-tailed test; or perceived sexual availability, F(1, 128) = .10, p =.76, η2p = .00, two-tailed test.

According to previous research, women who are associated with alcohol are dehumanized and viewed as more sexually available than those associated with water. As an extension, we investigated the impact of alcohol on perceptions of professionalism in the context of hiring decisions. We hypothesized that female candidates who apply to positions in male-dominated fields and are associated with alcohol will be more dehumanized, perceived as more sexually available, and be viewed as less professional than their counterparts in other conditions.

Discussion

Our results indicated that while alcohol had a main effect on dehumanization, sexual availability, and professionalism, the job type the candidate was applying for had no significant effect on any participant perceptions. These results suggest that employers will dehumanize women who associate with alcohol in social media regardless of the position they are applying for. In an age where hiring decisions are increasingly likely to include viewing a participant’s social media profile (Driver, 2018), this highlights a critical barrier to women in the workforce, and has implications of bolstering gender inequality.

SINGIFICANT EFFECT

NO EFFECT

JOB TYPE

ALCOHOL

Impact and Limitations

We believe the results of this study to be valid and impactful for any women in the workforce who engage in social media. The design of this experiment was informed by the previous research on the topic, and the majority of the scales used here were validated by their use in those studies. One limitation was that while all the photos of each candidate included a beverage, no specific attention was drawn to the beverage and no reason was provided to note what type of beverage the candidate was consuming. Making the presence of alcohol more evident, asking participants to pay attention to it, or even implying a lack of sobriety through other means might have decreased the number of manipulation check failures we experienced or produced a stronger effect size for the whole population.

Future Work

  • While we recorded some demographics in this study, there was no extensive analysis conducted as to effects or mediating factors. Investigating demographic qualities such as race or occupation could illuminate the relationships between groups who will be challenged by hiring inequality.  A study examining postdoctoral positions in the STEM field not only found that men were more likely to be evaluated positively by faculty members than women but Black and Latino female candidates and Latino male candidates were evaluated the most negatively out of all of the candidates (Eaton, et al., 2019). This indicates a useful direction for future work, as certain racial groups may be more likely to suffer from negative evaluations from association with alcohol.

  • It would also be valuable to examine the effects of alcohol association on other workplace conditions and estimations, such as likelihood to be promoted or leadership potential. Manipulating apparent sobriety of the candidate could also draw out more extreme results related to alcohol perceptions by expanding upon the study done by (Riemer, et al., 2019) and seeing if making lack of sobriety more apparent through being viewed with multiple drinks or facial expressions/body language that are often seen associated with intoxication might affect the extent of negative perceptions of the candidate.   

The results of our study as a whole suggest that social media identity could have significant repercussions for women applying for jobs. Previous studies have highlighted the dehumanization and sexual estimations of women in contexts with alcohol, but the demonstrated negative effect on perceived professionalism could pose a hindrance to women entering the workforce. We believe this experiment merits further research, in an effort to understand workplace influences and promote gender equality.

Check out our final presentation!

View Presentation

Check out our project poster!

View Poster

Check out our project paper!

View Paper